KZJ Global
About Us
  • KZJ Company Profile
  • R&D Center
  • Value & Principle
  • Core Competencies
  • Historical Milestone
  • 15 Factories Map
  • Certifications and Awards
  • Social Responsibility
Products
  • Technology Innovation
  • Sales & Distributions
  • New Products
  • Polyether Macro Monomers
  • PCE Products & Polycarboxylate Superplasticizers
  • SNF Materials & Naphthalene-based Water Reducers
  • KZJ Concrete Set-Controlling Admixtures
  • Cement Grinding Additive
  • Others
Construction Solutions
  • The Most 7 Signature Projects
  • Superplasticizer Solutions of Ready-mix Concrete
  • Superplasticizer Solutions of Precast and Pile Concrete
  • Applications
Technical Service
  • Free Training Courses
  • Technical Service for Professional's

KZJnazem 812N Max. 5% Sodium Sulfates

KZJnazem 809N Max. 18% Sodim Sulfates

KZJnazem RS86 Naphthalene-based Water Reducer for C15-C60 Pile, Precast, Grouting Concrete

KZJnazem RR86 Naphthalene-based Superplasticizer for C15~ C50 Ready Mix Concrete with Adjustable Time Setting Properties

Products > SNF Products & Naphthalene-based Water Reducer > Powdery SNF Products

Powdery

SNF|PNS Products

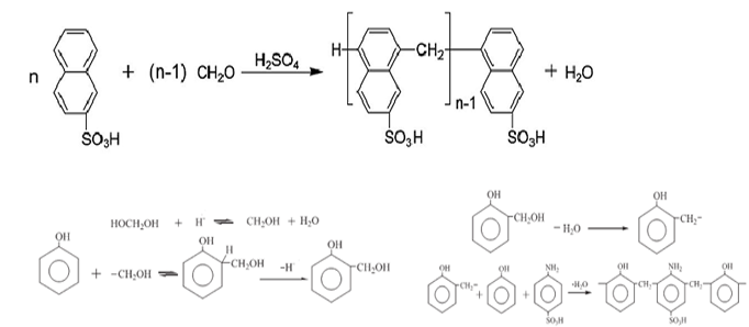
SNF is short for Sodium Naphthalene-Formaldehyde Sulfonate and becomes the positive dispensing element on concrete. Based on the polymers which are absorbed by the cement granules, SNF wrap around the granules surface are at the very early stage of the concrete mixing process.

Our SNF/PNS materials are compatible with all types of cement, fly ash, slag, silica fume and other admixtures to achieve comprehensive performance in concrete. When used with other admixtures, each one must be dispensed separately into the mix. It is well adaptive to substance of lignosulfonate, melamine, aliphatic, anthracene, but avoid to use together with PCE-based superplasticizer.

Features and Benefits
Moderate Low Air-entraining Ability.
Strong adaptability with low level or recycle local materials in concrete
Stable Workability, Dispersion ability and Low Shrinkage
Easy Addition During Batching Plant Process
Well Compatible with Substance of Lignosulfonate, Melamine, Aliphatic & Anthracene.

SNF Innovation Technology

Storage Condition:

It contains non-corrosive and non-flammable ingredients, and should be stored in well-ventilated and dry warehouse without sunlight and rain.

Storage Temperature,℃ : -10 ~ +50
SNF|PNS Products List
KZJnazem 809N     Powder
16% ±2% Sodium Sulfates 92±2% Dry Material Content %
KZJnazem 812N     Powder
5%±2% Sodium Sulfates PNS 94±2% Dry Material Content %

KZJnazem 809N and KZJnazem 812N are brown powdery superplasticizer to make the ready to use concrete admixtures of KZJnazem RS86 and KZJnazem RR86 which comply with specification of concrete admixture: ASTM C 494 for Type A, Type D, Type E and Type G.

Packing Method:

As KZJnazem 809N and KZJnazem 812N are powder type and can be available in 25kg/woven-paper based bag with PE bag inside or 700kg /Jampoo bag.

Shelf Life:12 months

Remarks:

KZJ SNF and Aliphatic products are non-toxic, non-irritative, non-radioactive, non-flammable and non-corrosive to steel bar.For detailed Health, Safety and Environmental recommendations, please consult and follow all instructions on our MSDS.

Buildings
Roads
Tunnels
Bridges
City Metros
Construction Chemical Products and Solutions
Copyright © 2025 KZJ New Materials Group Co., Ltd.All rights reserved
No.169, Nei'an Middle Road, Xiang'an District, Xiamen, China 361101
Te.l: +86 4008 002398 M.:+86 17305925878 Email:kzj@lets.com
Visit us at: www.letskzj.com